Seebio 提供從磷脂PEGs到熒光PEGs的多種選擇,種類齊全,產品線豐富。同時具備重組蛋白藥物中間體合同外包開發和生產(CRO & CDMO)能力。

重組蛋白是應用重組DNA或重組RNA的技術從而獲得連接有可以翻譯成目的蛋白基因片段的重組載體。它是生物藥物中的核心產品,安全性顯著高于小分子藥物。雖生產條件苛刻,服用程序復雜,價格昂貴,但對某些疾病具有不可替代的治療作用,因而具有較高的批準率。同時,重組蛋白藥物的臨床試驗期要短于小分子藥物,專利保護相對延長,給了制藥公司更長的盈利時間。這些特點成為重組蛋白藥物研發的重要動力。

重組蛋白藥物生產流程[1]
利用化學修飾及基因工程技術等對重組蛋白藥物進行改造或修飾,解決藥物在血液中半衰期短、給藥途徑單一、免疫原性和毒副反應等問題,進而增強藥物活性、提高藥物效力是重組蛋白藥物研究的重點之一。長效蛋白質生物制劑技術也是國際上許多大公司搶占的核心技術
聚乙二醇(PEGs)由于低免疫原性,良好的水溶性及生物相容性,是生物醫學中使用較多的聚合物,其“隱身”效應是生物材料的“金標準”。PEGs對蛋白藥物修飾途徑主要有氨基修飾(包括N端氨基的酰化修飾、賴氨酸側鏈氨基的酰化修飾、N端氨基的烷基化修飾)、羧基修飾、巰基修飾等。目前,PEG修飾蛋白質類藥物的研究主要集中于腺苷脫氨酶、天冬酰胺酶、干擾素、粒細胞集落刺激因子、白細胞介素等。
![]() CAS# N/A TZ-Ste-SO2-nBu-AEEA-Glu(OH)- Glu(OH)-AEEA-Lys(OH)-C (諾和長效生長激素側鏈) | ![]() CAS# 1188328-37-1 OtBu-Ara-Glu(AEEA-AEEA-OH)-OtBu (禮來GIP/GLP-1雙重激動劑、諾和超級胰島素) |
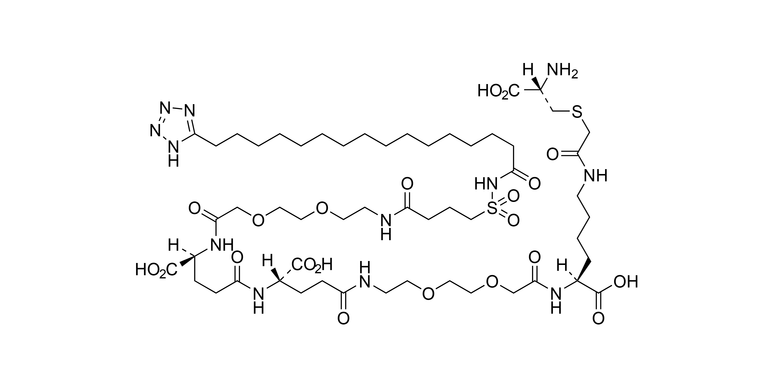
![]() CAS# N/A HO-Ste-CYH-Glu(OH)-Glu(OH)-AEEEEA-Mal (僅供科研用) | |
經PEG共價修飾后,蛋白質藥物的半衰期得到延長、免疫原性降低,同時較大限度地保留其生物活性,提高了藥物效力:
分子半徑增大,腎清除速率下降。
PEG在蛋白表面起到了屏蔽和位阻效應,酶解速率降低,穩定性提高,半衰期延長。
屏蔽和位阻效應還可以掩蓋蛋白質表面的抗原位點,降低了蛋白質的免疫原性。
增加了藥物在體液中的溶解性。
與藥物的化學鍵在體內隨時間水解,緩慢釋放藥物[2]。
各類PEG化蛋白質[3]
目前重組蛋白藥物研發性巨頭公司(Amgen、Biogen IDEC、Johnson & Johnson、Eli Lily、Novo Nordisk、Roche)幾乎全部來自歐美[4],占全球市場約80%的比例。而所有歐美公司的銷售額占全球生物技術公司銷售額高達97%。1990年, FDA批準了PEG化蛋白質藥物,治療重度免疫缺陷綜合征的Adagen (PEG-ADA)以來,許多藥物也得到陸續通過審批。
PEGs-modified protein approved FDA. Site-specific PEGylated proteins given in bold [3]

FDA批準的PEG修飾蛋白藥物
【參考文獻】
1.Y. Wei, Z.W. Zhang, et al. Chin j Biotech, 2018, 34(3): 360-368
2.K.J. Dozier, D.M. Distefano Int. J. Mol. Sci. 2015, 16(10), 25831-25864(扉頁圖片)
3.F.M. Veronese, G. Pasut. Drug Discov.Today, 2005, 10(21): 1451–1458
4.W.X. Wu, Y. Zhang, et al. Lett Biotechnol, 2006, 17(6): 929–934.
2.K.J. Dozier, D.M. Distefano Int. J. Mol. Sci. 2015, 16(10), 25831-25864(扉頁圖片)
3.F.M. Veronese, G. Pasut. Drug Discov.Today, 2005, 10(21): 1451–1458
4.W.X. Wu, Y. Zhang, et al. Lett Biotechnol, 2006, 17(6): 929–934.
Seebio 修飾性PEG產品現貨表
| 貨號 | CAS | 產品名稱 | 規格1 | 規格2 | 純度 |
| AAU0205A | 876345-13-0 | Boc-NH-PEG4-CH2COOH | 250mg | 500mg | 97% |
| AAU0206A | 951671-87-7 | DNP-PEG3-azide | 100mg | 200mg | 98% |
| AAU0207A | 112-35-6 | m-PEG3-OH | 100g | 200g | 97% |
| AAU0208A | 756525-95-8 | NH2-PEG2-C2-Boc | 1g | 2g | 95% |
| AAU0209A | 581065-95-4 | Amino-PEG4-Boc | 1g | 2g | 97% |
| AAU0210A | 1393330-38-5 | Bromo-PEG4-acid | 1g | 2g | 97% |
| AAU0211A | 139115-90-5 | Azido-PEG2-alcohol | 1g | 2g | 97% |
| AAU0212A | 86520-52-7 | Azido-PEG3-alcohol | 5g | 10g | 98% |
| AAU0213A | 305372-39-8 | Biotin-PEG2-Mal | 100mg | 200mg | 98% |
| AAU0214A | 1453117-42-4 | Tos-PEG4-acid | 1g | 2g | 97% |
| AAU0215A | 86259-87-2 | BnO-PEG4-OH | 25g | 50g | 97% |
| AAU0216A | 1312309-63-9 | Azido-PEG2-C2-acid | 1g | 2g | 97% |
| AAU0217A | 1446282-18-3 | Amino-PEG5-Boc | 2g | 4g | 98% |
| AAU0218A | 252881-74-6 | NH2-PEG3-C2-Boc | 2g | 4g | 97% |
| AAU0219A | 1393330-36-3 | Bromo-PEG1-C2-Boc | 1g | 2g | 97% |
| AAU0220A | 928292-69-7 | Amino-PEG10-amine | 1g | 2g | 97% |
| AAU0221A | 890091-43-7 | Boc-amido-PEG9-amine | 1g | 2g | 97% |
| AAU0222A | 1859379-85-3 | Propargyl-PEG2-acid | 5g | 10g | 98% |
| AAU0223A | 906099-89-6 | Biotin-PEG6-alcohol | 1g | 2g | 97% |
| AAU0224A | 1800414-71-4 | Azido-PEG11-amine | 1g | 2g | 97% |
| AAU0225A | 31127-85-2 | Bis-PEG4-acid | 1g | 2g | 98% |
| AAU0226A | 518044-37-6 | Mal-PEG6-Boc | 250mg | 500mg | 97% |
| AAU0227A | 437655-95-3 | Fmoc-NH-PEG4-CH2COOH | 5g | 10g | 98% |
| AAU0228A | 1122484-77-8 | NH2-PEG2-C1-Boc | 1g | 2g | 97% |
| AAU0229A | 144942-89-2 | Amino-PEG1-C2-acid | 5g | 10g | 98% |
| AAU0230A | 127828-22-2 | Amino-PEG2-NH-Boc | 1g | 2g | 98% |
| AAU0231A | 166388-57-4 | Azido-PEG2-C2-amine | 250mg | 500mg | 97% |
| AAU0232A | 149299-82-1 | Hydroxy-PEG2-CH2-Boc | 1g | 2g | 97% |
| AAU0233A | 1233234-77-9 | Boc-NH-PEG11-NH2 | 100mg | 200mg | 97% |
| AAU0234A | 208827-90-1 | Propargyl-PEG3-alcohol | 5g | 10g | 97% |
| AAU0235A | 287174-32-7 | Hydroxy-PEG1-CH2-Boc | 1g | 2g | 97% |
| AAU0236A | 756525-93-6 | Mal-amido-PEG8-NHS ester | 250mg | 500mg | 98% |
| AAU0237A | 1008402-79-6 | Bis-PEG9-NHS ester | 25mg | 50mg | 98% |
| AAU0238A | 756526-04-2 | NH2-PEG9-acid | 3g | 6g | 98% |
| AAU0239A | 1191079-83-0 | Amino-PEG9-acid | 1g | 2g | 97% |
| AAU0240A | 872679-70-4 | Fmoc-NH-PEG2-CH2CH2COOH | 10g | 20g | 98% |
| AAU0241A | 882847-13-4 | Boc-NH-PEG6-CH2CH2COOH | 100mg | 200mg | 97% |
| AAU0242A | 1334169-93-5 | Boc-NH-PEG8-CH2CH2COOH | 100mg | 200mg | 97% |
| AAU0243A | 756525-91-4 | Boc-NH-PEG4-CH2CH2COOH | 100mg | 200mg | 97% |
| AAU0244A | 1347750-78-0 | Boc-NH-PEG5-CH2CH2COOH | 100mg | 200mg | 97% |
| AAU0245A | 1312309-64-0 | N3-PEG2-C2-NHS ester | 100mg | 200mg | 97% |
| AAU0246A | 439114-13-3 | Bis-PEG5-acid | 1g | 2g | 97% |
| AAU0247A | 875770-34-6 | Biotin-PEG3-azide | 1g | 2g | 97% |
| AAU0248A | 31576-51-9 | m-PEG2-Amine | 1g | 2g | 98% |
| AAU0249A | 1383814-00-3 | Amino-PEG12-Boc | 1g | 2g | 98% |
| AAU0250A | 929-75-9 | Amino-PEG3-C2-Amine | 1g | 2g | 95% |
| AAU0251A | 142929-49-5 | Boc-NH-PEG1-CH2COOH | 1g | 2g | 97% |
| AAU0252A | 937188-59-5 | Hydroxy-PEG4-acid | 100mg | 200mg | 97% |
| AAU0253A | 663171-32-2 | Biotin-PEG4-amine | 250mg | 500mg | 98% |
| AAU0254A | 169751-72-8 | Hydroxy-PEG4-CH2-Boc | 1g | 2g | 97% |
| AAU0255A | 2100306-71-4 | Bromo-PEG3-CH2-Boc | 1g | 2g | 98% |
| AAU0256A | 459426-22-3 | Biotin-PEG4-NHS ester | 250mg | 500mg | 97% |
| AAU0257A | 2055042-66-3 | Hydroxy-PEG9-Boc | 250mg | 500mg | 98% |
| AAU0258A | 108466-89-3 | Boc-NH-PEG2-CH2COOH | 1g | 2g | 97% |
| AAU0259A | 215181-61-6 | m-PEG2-azide | 5g | 10g | 97% |
| AAU0260A | 86770-67-4 | Azido-PEG4-alcohol | 1g | 2g | 97% |
| AAU0261A | 1895922-74-3 | Boc-NH-PEG2-propargyl | 250mg | 500mg | 97% |
| AAU0262A | 87450-10-0 | Propargyl-PEG4-alcohol | 100mg | 200mg | 95% |
| AAU0263A | 9004-74-4 | m-PEG-OH (MW 2000) | 25g | 50g | 97% |
| AAU0264A | 57641-66-4 | Bromo-PEG2-alcohol | 5G | 10G | 97% |
| AAU0265A | 54149-17-6 | m-PEG2-Br | 5g | 10g | 97% |
| AAU0266A | 27425-92-9 | m-PEG10-alcohol | 1g | 2g | 97% |
| AAU0267A | 2101563-45-3 | Fmoc-NH-PEG10-acid | 1g | 2g | 97% |
| AAU0268A | 1257063-35-6 | Azido-PEG4-C2-acid | 250mg | 500mg | 97% |
| AAU0269A | 462100-06-7 | Boc-NH-PEG3-CH2COOH | 1g | 2g | 97% |
| AAU0270A | 869310-84-9 | Propargyl-PEG2-NHBoc | 250mg | 500mg | 97% |
| AAU0271A | 858126-78-0 | DNP-PEG4-NHS ester | 500mg | 1g | 97% |
| AAU0272A | 518044-31-0 | Hydroxy-PEG3-CH2-Boc | 1g | 2g | 97% |
| AAU0273A | 297162-47-1 | Hydroxy-PEG6-CH2-Boc | 1g | 2g | 97% |
| AAU0274A | 955094-26-5 | Mal-amido-PEG2-NHS ester | 250mg | 500mg | 97% |
| AAU0275A | 1404111-67-6 | N-Boc-PEG5-alcohol | 1g | 2g | 97% |
| AAU0276A | 186020-66-6 | Hydroxy-PEG3-(CH2)2-Boc | 10g | 20g | 97% |
| AAU0277A | 791028-27-8 | Amino-PEG2-C2-acid | 20g | 40g | 97% |
| AAU0278A | 165963-71-3 | N-Boc-PEG3-bromide | 1g | 2g | 97% |
| AAU0279A | 1334177-79-5 | Mal-amido-PEG6-acid | 1g | 2g | 97% |
| AAU0280A | 2241669-16-7 | NH2-PEG5-C6-Cl (hydrochloride) | 1g | 2g | 97% |
| AAU0281A | 557756-85-1 | Fmoc-NH-PEG4-CH2CH2COOH | 5g | 10g | 98% |
| AAU0282A | 474082-35-4 | Amino-PEG9-amine | 1g | 2g | 98% |
| AAU0283A | 119189-70-7 | Bis-PEG6-acid | 250mg | 500mg | 97% |
| AAU0284A | 2388521-20-6 | Hydroxy-PEG12-Boc | 250mg | 500mg | 98% |
| AAU0285A | 361189-64-2 | Hydroxy-PEG6-Boc | 250mg | 500mg | 97% |
| AAU0286A | 164332-88-1 | N-Boc-PEG2-bromide | 1g | 2g | 97% |
| AAU0287A | 929-59-9 | Bis-NH2-PEG2 | 25g | 50g | 95% |
| AAU0288A | 1818294-42-6 | Amino-PEG10-Boc | 100mg | 200mg | 97% |
| AAU0289A | 1334177-80-8 | Cbz-NH-PEG6-C2-acid | 250mg | 500mg | 97% |
| AAU0290A | 957486-82-7 | Azido-PEG6-amine | 250mg | 500mg | 97% |
| AAU0291A | 1334177-87-5 | Cbz-NH-PEG8-C2-acid | 100mg | 200mg | 95% |
| AAU0292A | 361189-66-4 | Azido-PEG6-acid | 500mg | 1g | 98% |
| AAU0293A | 1670249-37-2 | Azido-PEG9-acid | 500mg | 1g | 98% |
| AAU0294A | 39160-70-8 | Amino-PEG6-alcohol | 250mg | 500mg | 97% |
| AAU0295A | 2093153-98-9 | Propargyl-PEG9-amine | 100mg | 200mg | 97% |
| AAU0296A | 882518-90-3 | Azido-PEG2-CH2COOH | 250mg | 500mg | 97% |
| AAU0297A | 756526-00-8 | Cbz-NH-PEG4-C2-acid | 250mg | 500mg | 97% |
| AAU0298A | 1245823-51-1 | Propargyl-PEG5-acid | 1g | 2g | 98% |
| AAU0299A | 1425973-14-3 | NH2-PEG7 | 500mg | 1g | 98% |
| AAU0300A | 1347760-82-0 | Propargyl-PEG3-acid | 250mg | 500mg | 97% |
| AAU0301A | 1951438-84-8 | Propargyl-PEG6-acid | 250mg | 500mg | 97% |
| AAU0302A | 932741-19-0 | Propargyl-PEG3-amine | 1g | 2g | 97% |
| AAU0303A | 34188-11-9 | NH2-PEG5-OH | 250mg | 500mg | 98% |
| AAU0304A | 581065-94-3 | Tos-PEG5-Boc | 1g | 2g | 97% |
| AAU0305A | 86770-68-5 | Azido-PEG5-alcohol | 250mg | 500mg | 97% |
| AAU0306A | 880129-82-8 | Azido-PEG6-CH2COOH | 500mg | 1g | 98% |
| AAU0307A | 1214319-92-2 | Azido-PEG8-acid | 100mg | 200mg | 98% |
| AAU0308A | 217180-81-9 | Azido-PEG5-CH2CO2H | 250mg | 500mg | 98% |
| AAU0309A | 857891-82-8 | Azido-PEG8-amine | 250mg | 500mg | 97% |
| AAU0310A | 5961-83-1 | Bis-PEG1-acid | 250mg | 500mg | 98% |
| AAU0311A | 19364-66-0 | Bis-PEG2-acid | 250mg | 500mg | 97% |
| AAU0312A | 2411681-88-2 | Thalidomide-O-PEG4-NHS ester | 250mg | 500mg | 97% |
| AAU0313A | 82209-36-7 | Amino-PEG8-amine | 100mg | 200mg | 98% |
| AAU0314A | 1263045-16-4 | Mal-amido-PEG4-acid | 500mg | 1g | 97% |
| AAU0315A | 756525-99-2 | Mal-amido-PEG4-NHS ester | 100mg | 200mg | 98% |
| AAU0316A | 139338-72-0 | Fmoc-amino-PEG3-CH2COOH | 2g | 4g | 97% |
| AAU0317A | 252881-76-8 | Biotin-PEG3-acid | 1g | 2g | 95% |
| AAU0318A | 1381861-91-1 | Bromo-PEG2-C2-Boc | 1g | 2g | 97% |
| AAU0319A | 1292268-13-3 | N-Boc-PEG7-alcohol | 5g | 10g | 97% |
| AAU0320A | 1334286-77-9 | Hydroxy-PEG2-acid | 250mg | 500mg | 97% |
| AAU0321A | 1036204-60-0 | Propargyl-PEG5-OH | 250mg | 500mg | 95% |
| AAU0322A | 2250216-93-2 | Boc-NH-PEG3-NHS ester | 1g | 2g | 97% |
| AAU0323A | 1314378-14-7 | Fmoc-PEG4-NHS ester | 1g | 2g | 98% |
| AAU0324A | 1431618-70-0 | Biotin-PEG3-Mal | 100mg | 200mg | 97% |
| AAU0325A | 912849-73-1 | Azido-PEG10-amine | 1g | 2g | 97% |
| AAU0326A | 157759-50-7 | Bromo-PEG1-CH2-Boc | 1g | 2g | 97% |
| AAU0327A | 134179-38-7 | Amino-PEG3-C2-Azido | 100mg | 200mg | 97% |
| AAU0328A | 778596-26-2 | Hydroxy-PEG10-Boc | 1g | 2g | 97% |
| AAU0329A | 57641-67-5 | Br-PEG3-OH | 250mg | 500mg | 98% |
| AAU0330A | 189808-70-6 | NH2-PEG3-C1-Boc | 1g | 2g | 98% |
| AAU0331A | 7218-43-1 | Propargyl-PEG2-OH | 250mg | 500mg | 95% |
| AAU0332A | 1056024-94-2 | N3-PEG3-CH2CH2COOH | 5g | 10g | 98% |
| AAU0333A | 359860-27-8 | Amine-PEG3-Biotin | 100mg | 200mg | 97% |
| AAU0334A | 1537892-36-6 | Mal-PEG3-NHS ester | 500mg | 1g | 98% |
| AAU0335A | 1260092-44-1 | Boc-NH-PEG1-CH2CH2COOH | 5g | 10g | 97% |
| AAU0336A | 85141-94-2 | Br-PEG4-OH | 1g | 2g | 97% |
| AAU0337A | 352439-37-3 | NH2-PEG8-OH | 1g | 2g | 97% |
| AAU0338A | 141282-35-1 | Amino-PEG5-CH2COOH | 0.1g | 0.2g | 98% |
| AAU0339A | 635287-26-2 | Fmoc-NH-PEG5-CH2COOH | 0.25g | 0.5g | 97% |
| AAU0340A | 867062-95-1 | Fmoc-NH-PEG3-CH2CH2COOH | 100mg | 200mg | 98% |
| AAU0341A | 1052207-59-6 | Boc-NH-PEG8-CH2CH2NH2 | 1g | 2g | 98% |
| AAU0342A | 31255-26-2 | Bromo-PEG3-bromide | 1g | 2g | 98% |
| AAU0343A | 24345-74-2 | Azido-PEG1-azide | 100mg | 200mg | 98% |
| AAU0344A | 1325208-25-0 | Mal-PEG4-NHS ester | 250mg | 500mg | 97% |
| AAU0345A | 516493-93-9 | Azido-PEG5-amine | 1g | 2g | 97% |
| AAU0346A | 1374666-32-6 | Mal-PEG2-acid | 100mg | 200mg | 97% |
| AAU0347A | 1013921-36-2 | Propargyl-PEG4-amine | 250mg | 500mg | 97% |
| AAU0348A | 1347750-75-7 | Boc-N-amido-PEG3-acid | 1g | 2g | 97% |
| AAU0349A | 72236-26-1 | Amino-PEG5-amine | 0.25g | 0.5g | 97% |
| AAU0350A | 332941-25-0 | Amino-PEG7-amine | 0.25g | 0.5g | 98% |
| AAU0351A | 1517-05-1 | Azido-PEG1 | 5g | 10g | 97% |
| AAU0352A | 945633-30-7 | Biotin-PEG2-CH2CH2N3 | 50mg | 100mg | 97% |
| AAU0353A | 65869-63-8 | Bis-PEG2-NHS ester | 100mg | 200mg | 97% |
| AAU0354A | 206265-98-7 | Boc-NH-PEG7-NH2 | 100mg | 200mg | 97% |
| AAU0355A | 721431-18-1 | Biotin-PEG4-acid | 50mg | 100mg | 97% |
| AAU0356A | 1027371-75-0 | m-PEG1-NHS ester | 1g | 2g | 97% |
| AAU0357A | 110429-45-3 | m-PEG4-Br | 5g | 10g | 97% |
| AAU0358A | 782475-37-0 | Br-PEG3-C2-Boc | 1g | 2g | 97% |
| AAU0359A | 784105-33-5 | Amino-PEG3-C2-acid | 1g | 2g | 97% |
| AAU0360A | 530151-56-5 | Bromo-PEG2-C2-azide | 1g | 2g | 97% |
| AAU0361A | 905954-28-1 | NH2-PEG6-CH2CH2COOH | 1g | 2g | 97% |
| AAU0362A | 195071-49-9 | Amino-PEG4-CH2COOH | 2g | 4g | 97% |
| AAU0363A | 2365309-92-6 | Cl-PEG6-acid | 100mg | 200mg | 98% |
| AAU0364A | 1137109-21-7 | Mal-amido-PEG6-NHS ester | 100g | 200g | 97% |
| AAU0365A | 936917-36-1 | Iodo-PEG4-N3 | 500mg | 1g | 97% |
| AAU0366A | 85030-56-4 | m-PEG4-Amine | 250mg | 500mg | 97% |
| AAU0367A | 869718-81-0 | m-PEG8-Amine | 1g | 2g | 97% |
| AAU0368A | 1702356-19-1 | ENdo-BCN-PEG4-NHS ester | 25mg | 50mg | 97% |
| AAU0369A | 1058691-77-2 | m-PEG6-CH2CH2CHO | 100mg | 200mg | 97% |
Seebio供應G-Kg級別蛋白藥物中間體
| 蛋白藥物中間體 | Seebio Code | CAS No. | Name | Packsize |
| 生長激素側鏈 | AAU0178A | N/A | TZ-Ste-SO2-nBu-AEEA-Glu(OH)-Glu(OH)-AEEA-Lys(OH)-C | 1g, 5g; 1kg |
| AAU0179A | N/A | HO-Ste-CYH-Glu(OH)-Glu(OH)-AEEEEA-Mal | 1g, 5g; 1kg | |
| Tirzepatide側鏈 | AAU0180A | 1188328-37-1 | OtBu-Ara-Glu(AEEA-AEEA-OH)-OtBu | 1g, 5g; 1kg |
| 索馬魯肽側鏈 | AAU0181A | 1169630-40-3 | (S)-22-(羧基) -1-((2,5-二氧代環戊基)氧基) -1,10,19,24-四氧代-3,6,12,15-四氧雜-9,18,23-氮雜四十一烷-41-酸 | 1g, 5g; 1kg |
| AAU0182A | 1118767-16-0 | tBuO-Ste-Glu(AEEA-AEEA-OH)-OtBu | 1g, 5g; 1kg | |
| AAU0183A | 1118767-15-9 | tBuO-Ste-Glu(AEEA-AEEA-OSu)-OtBu | 1g, 5g; 1kg | |
| AAU0184A | N/A | tBuO-Ste-Glu(AEEA-AEEA-ONa)-OtBu | 1g, 5g; 1kg | |
| AAU0185A | 4871-70-5 | 十八烷二酸 | 1g, 5g; 1kg | |
| AAU0186A | 843666-40-0 | 十八烷二酸單叔丁酯 | 1g, 5g; 1kg | |
| AAU0187A | 134978-97-5 | AEEA | 1g, 5g; 1kg | |
| AAU0188A | 1143516-05-5 | AEEA-AEEA | 1g, 5g; 1kg | |
| AAU0189A | 166108-71-0 | Fmoc-AEEA | 1g, 5g; 1kg | |
| AAU0190A | N/A | Fmoc-PEG3-乙酸 | 1g, 5g; 1kg | |
| AAU0191A | 2061897-68-3 | Boc-His(Trt)-Aib-OH | 1g, 5g; 1kg | |
| AAU0192A | N/A | Boc-His(Trt)-Aib-Glu(OtBu)-Gly-OH | 1g, 5g; 1kg | |
| AAU0193A | 1662688-20-1 | Fmoc-Lys(tBuO-Ste-Glu(AEEA-AEEA)-OtBu)-OH | 1g, 5g; 1kg | |
| AAU0194A | N/A | tBuO-Ste-Glu(AEEA-AEEA-Glu)-OtBu | 1g, 5g; 1kg | |
| 利拉魯肽側鏈 | AAU0195A | 204521-63-1 | Pal-Glu(OSu)-OtBu | 1g, 5g; 1kg |
| AAU0196A | 57078-98-5 | D-Pal-Glu(OSu)-OtBu | 1g, 5g; 1kg | |
| AAU0197A | N/A | L-HO-Pal-Lys(OSu)-OH | 1g, 5g; 1kg | |
| AAU0198A | 294855-91-7 | L-Pal-Glu(OSu)-OH | 1g, 5g; 1kg | |
| AAU0199A | N/A | L-Pal-Glu(OH)-OtBu | 1g, 5g; 1kg | |
| AAU0200A | N/A | 2L-HO-Pal-Glu(OSu)-OtBu | 1g, 5g; 1kg | |
| 德谷胰島素側鏈 | AAU0201A | N/A | L-HO-Pal-Glu(OSu)-OH | 1g, 5g; 1kg |
| AAU0202A | N/A | L-tBuO-Pal-Glu(OSu)-OtBu | 1g, 5g; 1kg | |
| AAU0203A | N/A | L-tBuO-Pal-Glu(OSu)-OH | 1g, 5g; 1kg | |
| 地特胰島素側鏈 | AAU0204A | 69888-86-4 | N-琥珀酰亞胺基豆蔻酸 | 1g, 5g; 1kg |
Seebio 提供從磷脂PEGs到熒光PEGs的多種選擇,種類齊全,產品線豐富。同時具備重組蛋白藥物中間體合同外包開發和生產(CRO & CDMO)能力。

重組蛋白是應用重組DNA或重組RNA的技術從而獲得連接有可以翻譯成目的蛋白基因片段的重組載體。它是生物藥物中的核心產品,安全性顯著高于小分子藥物。雖生產條件苛刻,服用程序復雜,價格昂貴,但對某些疾病具有不可替代的治療作用,因而具有較高的批準率。同時,重組蛋白藥物的臨床試驗期要短于小分子藥物,專利保護相對延長,給了制藥公司更長的盈利時間。這些特點成為重組蛋白藥物研發的重要動力。

重組蛋白藥物生產流程[1]
利用化學修飾及基因工程技術等對重組蛋白藥物進行改造或修飾,解決藥物在血液中半衰期短、給藥途徑單一、免疫原性和毒副反應等問題,進而增強藥物活性、提高藥的效力是重組蛋白藥物研究的重點之一。長效蛋白質生物制劑技術也是國際上許多大公司搶占的核心技術
聚乙二醇(PEGs)由于低免疫原性,良好的水溶性及生物相容性,是生物醫學中使用較多的聚合物,其“隱身”效應是生物材料的“金標準”。PEGs對蛋白藥物修飾途徑主要有氨基修飾(包括N端氨基的酰化修飾、賴氨酸側鏈氨基的酰化修飾、N端氨基的烷基化修飾)、羧基修飾、巰基修飾等。目前,PEG修飾蛋白質類藥物的研究主要集中于腺苷脫氨酶、天冬酰胺酶、干擾素、粒細胞集落刺激因子、白細胞介素等。
![]() CAS# N/A TZ-Ste-SO2-nBu-AEEA-Glu(OH)- Glu(OH)-AEEA-Lys(OH)-C (諾和長效生長激素側鏈) |
![]() CAS# 1188328-37-1 OtBu-Ara-Glu(AEEA-AEEA-OH)-OtBu (禮來GIP/GLP-1雙重激動劑、諾和超級胰島素) |
![]() CAS# N/A HO-Ste-CYH-Glu(OH)-Glu(OH)-AEEEEA-Mal (僅供科研用) |
經PEG共價修飾后,蛋白質藥物的半衰期得到延長、免疫原性降低,同時較大限度地保留其生物活性,提高了藥的效力:
分子半徑增大,腎清除速率下降。
PEG在蛋白表面起到了屏蔽和位阻效應,酶解速率降低,穩定性提高,半衰期延長。
屏蔽和位阻效應還可以掩蓋蛋白質表面的抗原位點,降低了蛋白質的免疫原性。
增加了藥物在體液中的溶解性。
與藥物的化學鍵在體內隨時間水解,緩慢釋放藥物[2]。

各類PEG化蛋白質[3]
目前重組蛋白藥物研發性巨頭公司(Amgen、Biogen IDEC、Johnson & Johnson、Eli Lily、Novo Nordisk、Roche)幾乎全部來自歐美[4],占全球市場約80%的比例。而所有歐美公司的銷售額占全球生物技術公司銷售額高達97%。1990年, FDA批準了PEG化蛋白質藥物,治療重度免疫缺陷綜合征的Adagen (PEG-ADA)以來,許多藥物也得到陸續通過審批。
PEGs-modified protein approved FDA. Site-specific PEGylated proteins given in bold [3]

FDA批準的PEG修飾蛋白藥物
【參考文獻】
1.Y. Wei, Z.W. Zhang, et al. Chin j Biotech, 2018, 34(3): 360-368
2.K.J. Dozier, D.M. Distefano Int. J. Mol. Sci. 2015, 16(10), 25831-25864(扉頁圖片)
3.F.M. Veronese, G. Pasut. Drug Discov.Today, 2005, 10(21): 1451–1458
4.W.X. Wu, Y. Zhang, et al. Lett Biotechnol, 2006, 17(6): 929–934.
2.K.J. Dozier, D.M. Distefano Int. J. Mol. Sci. 2015, 16(10), 25831-25864(扉頁圖片)
3.F.M. Veronese, G. Pasut. Drug Discov.Today, 2005, 10(21): 1451–1458
4.W.X. Wu, Y. Zhang, et al. Lett Biotechnol, 2006, 17(6): 929–934.
Seebio 修飾性PEG產品現貨表
| 貨號 | CAS | 產品名稱 | 純度 |
| AAU0205A | 876345-13-0 | Boc-NH-PEG4-CH2COOH | 97% |
| AAU0206A | 951671-87-7 | DNP-PEG3-azide | 98% |
| AAU0207A | 112-35-6 | m-PEG3-OH | 97% |
| AAU0208A | 756525-95-8 | NH2-PEG2-C2-Boc | 95% |
| AAU0209A | 581065-95-4 | Amino-PEG4-Boc | 97% |
| AAU0210A | 1393330-38-5 | Bromo-PEG4-acid | 97% |
| AAU0211A | 139115-90-5 | Azido-PEG2-alcohol | 97% |
| AAU0212A | 86520-52-7 | Azido-PEG3-alcohol | 98% |
| AAU0213A | 305372-39-8 | Biotin-PEG2-Mal | 98% |
| AAU0214A | 1453117-42-4 | Tos-PEG4-acid | 97% |
| AAU0215A | 86259-87-2 | BnO-PEG4-OH | 97% |
| AAU0216A | 1312309-63-9 | Azido-PEG2-C2-acid | 97% |
| AAU0217A | 1446282-18-3 | Amino-PEG5-Boc | 98% |
| AAU0218A | 252881-74-6 | NH2-PEG3-C2-Boc | 97% |
| AAU0219A | 1393330-36-3 | Bromo-PEG1-C2-Boc | 97% |
| AAU0220A | 928292-69-7 | Amino-PEG10-amine | 97% |
| AAU0221A | 890091-43-7 | Boc-amido-PEG9-amine | 97% |
| AAU0222A | 1859379-85-3 | Propargyl-PEG2-acid | 98% |
| AAU0223A | 906099-89-6 | Biotin-PEG6-alcohol | 97% |
| AAU0224A | 1800414-71-4 | Azido-PEG11-amine | 97% |
| AAU0225A | 31127-85-2 | Bis-PEG4-acid | 98% |
| AAU0226A | 518044-37-6 | Mal-PEG6-Boc | 97% |
| AAU0227A | 437655-95-3 | Fmoc-NH-PEG4-CH2COOH | 98% |
| AAU0228A | 1122484-77-8 | NH2-PEG2-C1-Boc | 97% |
| AAU0229A | 144942-89-2 | Amino-PEG1-C2-acid | 98% |
| AAU0230A | 127828-22-2 | Amino-PEG2-NH-Boc | 98% |
| AAU0231A | 166388-57-4 | Azido-PEG2-C2-amine | 97% |
| AAU0232A | 149299-82-1 | Hydroxy-PEG2-CH2-Boc | 97% |
| AAU0233A | 1233234-77-9 | Boc-NH-PEG11-NH2 | 97% |
| AAU0234A | 208827-90-1 | Propargyl-PEG3-alcohol | 97% |
| AAU0235A | 287174-32-7 | Hydroxy-PEG1-CH2-Boc | 97% |
| AAU0236A | 756525-93-6 | Mal-amido-PEG8-NHS ester | 98% |
| AAU0237A | 1008402-79-6 | Bis-PEG9-NHS ester | 98% |
| AAU0238A | 756526-04-2 | NH2-PEG9-acid | 98% |
| AAU0239A | 1191079-83-0 | Amino-PEG9-acid | 97% |
| AAU0240A | 872679-70-4 | Fmoc-NH-PEG2-CH2CH2COOH | 98% |
| AAU0241A | 882847-13-4 | Boc-NH-PEG6-CH2CH2COOH | 97% |
| AAU0242A | 1334169-93-5 | Boc-NH-PEG8-CH2CH2COOH | 97% |
| AAU0243A | 756525-91-4 | Boc-NH-PEG4-CH2CH2COOH | 97% |
| AAU0244A | 1347750-78-0 | Boc-NH-PEG5-CH2CH2COOH | 97% |
| AAU0245A | 1312309-64-0 | N3-PEG2-C2-NHS ester | 97% |
| AAU0246A | 439114-13-3 | Bis-PEG5-acid | 97% |
| AAU0247A | 875770-34-6 | Biotin-PEG3-azide | 97% |
| AAU0248A | 31576-51-9 | m-PEG2-Amine | 98% |
| AAU0249A | 1383814-00-3 | Amino-PEG12-Boc | 98% |
| AAU0250A | 929-75-9 | Amino-PEG3-C2-Amine | 95% |
| AAU0251A | 142929-49-5 | Boc-NH-PEG1-CH2COOH | 97% |
| AAU0252A | 937188-59-5 | Hydroxy-PEG4-acid | 97% |
| AAU0253A | 663171-32-2 | Biotin-PEG4-amine | 98% |
| AAU0254A | 169751-72-8 | Hydroxy-PEG4-CH2-Boc | 97% |
| AAU0255A | 2100306-71-4 | Bromo-PEG3-CH2-Boc | 98% |
| AAU0256A | 459426-22-3 | Biotin-PEG4-NHS ester | 97% |
| AAU0257A | 2055042-66-3 | Hydroxy-PEG9-Boc | 98% |
| AAU0258A | 108466-89-3 | Boc-NH-PEG2-CH2COOH | 97% |
| AAU0259A | 215181-61-6 | m-PEG2-azide | 97% |
| AAU0260A | 86770-67-4 | Azido-PEG4-alcohol | 97% |
| AAU0261A | 1895922-74-3 | Boc-NH-PEG2-propargyl | 97% |
| AAU0262A | 87450-10-0 | Propargyl-PEG4-alcohol | 95% |
| AAU0263A | 9004-74-4 | m-PEG-OH (MW 2000) | 97% |
| AAU0264A | 57641-66-4 | Bromo-PEG2-alcohol | 97% |
| AAU0265A | 54149-17-6 | m-PEG2-Br | 97% |
| AAU0266A | 27425-92-9 | m-PEG10-alcohol | 97% |
| AAU0267A | 2101563-45-3 | Fmoc-NH-PEG10-acid | 97% |
| AAU0268A | 1257063-35-6 | Azido-PEG4-C2-acid | 97% |
| AAU0269A | 462100-06-7 | Boc-NH-PEG3-CH2COOH | 97% |
| AAU0270A | 869310-84-9 | Propargyl-PEG2-NHBoc | 97% |
| AAU0271A | 858126-78-0 | DNP-PEG4-NHS ester | 97% |
| AAU0272A | 518044-31-0 | Hydroxy-PEG3-CH2-Boc | 97% |
| AAU0273A | 297162-47-1 | Hydroxy-PEG6-CH2-Boc | 97% |
| AAU0274A | 955094-26-5 | Mal-amido-PEG2-NHS ester | 97% |
| AAU0275A | 1404111-67-6 | N-Boc-PEG5-alcohol | 97% |
| AAU0276A | 186020-66-6 | Hydroxy-PEG3-(CH2)2-Boc | 97% |
| AAU0277A | 791028-27-8 | Amino-PEG2-C2-acid | 97% |
| AAU0278A | 165963-71-3 | N-Boc-PEG3-bromide | 97% |
| AAU0279A | 1334177-79-5 | Mal-amido-PEG6-acid | 97% |
| AAU0280A | 2241669-16-7 | NH2-PEG5-C6-Cl (hydrochloride) | 97% |
| AAU0281A | 557756-85-1 | Fmoc-NH-PEG4-CH2CH2COOH | 98% |
| AAU0282A | 474082-35-4 | Amino-PEG9-amine | 98% |
| AAU0283A | 119189-70-7 | Bis-PEG6-acid | 97% |
| AAU0284A | 2388521-20-6 | Hydroxy-PEG12-Boc | 98% |
| AAU0285A | 361189-64-2 | Hydroxy-PEG6-Boc | 97% |
| AAU0286A | 164332-88-1 | N-Boc-PEG2-bromide | 97% |
| AAU0287A | 929-59-9 | Bis-NH2-PEG2 | 95% |
| AAU0288A | 1818294-42-6 | Amino-PEG10-Boc | 97% |
| AAU0289A | 1334177-80-8 | Cbz-NH-PEG6-C2-acid | 97% |
| AAU0290A | 957486-82-7 | Azido-PEG6-amine | 97% |
| AAU0291A | 1334177-87-5 | Cbz-NH-PEG8-C2-acid | 95% |
| AAU0292A | 361189-66-4 | Azido-PEG6-acid | 98% |
| AAU0293A | 1670249-37-2 | Azido-PEG9-acid | 98% |
| AAU0294A | 39160-70-8 | Amino-PEG6-alcohol | 97% |
| AAU0295A | 2093153-98-9 | Propargyl-PEG9-amine | 97% |
| AAU0296A | 882518-90-3 | Azido-PEG2-CH2COOH | 97% |
| AAU0297A | 756526-00-8 | Cbz-NH-PEG4-C2-acid | 97% |
| AAU0298A | 1245823-51-1 | Propargyl-PEG5-acid | 98% |
| AAU0299A | 1425973-14-3 | NH2-PEG7 | 98% |
| AAU0300A | 1347760-82-0 | Propargyl-PEG3-acid | 97% |
| AAU0301A | 1951438-84-8 | Propargyl-PEG6-acid | 97% |
| AAU0302A | 932741-19-0 | Propargyl-PEG3-amine | 97% |
| AAU0303A | 34188-11-9 | NH2-PEG5-OH | 98% |
| AAU0304A | 581065-94-3 | Tos-PEG5-Boc | 97% |
| AAU0305A | 86770-68-5 | Azido-PEG5-alcohol | 97% |
| AAU0306A | 880129-82-8 | Azido-PEG6-CH2COOH | 98% |
| AAU0307A | 1214319-92-2 | Azido-PEG8-acid | 98% |
| AAU0308A | 217180-81-9 | Azido-PEG5-CH2CO2H | 98% |
| AAU0309A | 857891-82-8 | Azido-PEG8-amine | 97% |
| AAU0310A | 5961-83-1 | Bis-PEG1-acid | 98% |
| AAU0311A | 19364-66-0 | Bis-PEG2-acid | 97% |
| AAU0312A | 2411681-88-2 | Thalidomide-O-PEG4-NHS ester | 97% |
| AAU0313A | 82209-36-7 | Amino-PEG8-amine | 98% |
| AAU0314A | 1263045-16-4 | Mal-amido-PEG4-acid | 97% |
| AAU0315A | 756525-99-2 | Mal-amido-PEG4-NHS ester | 98% |
| AAU0316A | 139338-72-0 | Fmoc-amino-PEG3-CH2COOH | 97% |
| AAU0317A | 252881-76-8 | Biotin-PEG3-acid | 95% |
| AAU0318A | 1381861-91-1 | Bromo-PEG2-C2-Boc | 97% |
| AAU0319A | 1292268-13-3 | N-Boc-PEG7-alcohol | 97% |
| AAU0320A | 1334286-77-9 | Hydroxy-PEG2-acid | 97% |
| AAU0321A | 1036204-60-0 | Propargyl-PEG5-OH | 95% |
| AAU0322A | 2250216-93-2 | Boc-NH-PEG3-NHS ester | 97% |
| AAU0323A | 1314378-14-7 | Fmoc-PEG4-NHS ester | 98% |
| AAU0324A | 1431618-70-0 | Biotin-PEG3-Mal | 97% |
| AAU0325A | 912849-73-1 | Azido-PEG10-amine | 97% |
| AAU0326A | 157759-50-7 | Bromo-PEG1-CH2-Boc | 97% |
| AAU0327A | 134179-38-7 | Amino-PEG3-C2-Azido | 97% |
| AAU0328A | 778596-26-2 | Hydroxy-PEG10-Boc | 97% |
| AAU0329A | 57641-67-5 | Br-PEG3-OH | 98% |
| AAU0330A | 189808-70-6 | NH2-PEG3-C1-Boc | 98% |
| AAU0331A | 7218-43-1 | Propargyl-PEG2-OH | 95% |
| AAU0332A | 1056024-94-2 | N3-PEG3-CH2CH2COOH | 98% |
| AAU0333A | 359860-27-8 | Amine-PEG3-Biotin | 97% |
| AAU0334A | 1537892-36-6 | Mal-PEG3-NHS ester | 98% |
| AAU0335A | 1260092-44-1 | Boc-NH-PEG1-CH2CH2COOH | 97% |
| AAU0336A | 85141-94-2 | Br-PEG4-OH | 97% |
| AAU0337A | 352439-37-3 | NH2-PEG8-OH | 97% |
| AAU0338A | 141282-35-1 | Amino-PEG5-CH2COOH | 98% |
| AAU0339A | 635287-26-2 | Fmoc-NH-PEG5-CH2COOH | 97% |
| AAU0340A | 867062-95-1 | Fmoc-NH-PEG3-CH2CH2COOH | 98% |
| AAU0341A | 1052207-59-6 | Boc-NH-PEG8-CH2CH2NH2 | 98% |
| AAU0342A | 31255-26-2 | Bromo-PEG3-bromide | 98% |
| AAU0343A | 24345-74-2 | Azido-PEG1-azide | 98% |
| AAU0344A | 1325208-25-0 | Mal-PEG4-NHS ester | 97% |
| AAU0345A | 516493-93-9 | Azido-PEG5-amine | 97% |
| AAU0346A | 1374666-32-6 | Mal-PEG2-acid | 97% |
| AAU0347A | 1013921-36-2 | Propargyl-PEG4-amine | 97% |
| AAU0348A | 1347750-75-7 | Boc-N-amido-PEG3-acid | 97% |
| AAU0349A | 72236-26-1 | Amino-PEG5-amine | 97% |
| AAU0350A | 332941-25-0 | Amino-PEG7-amine | 98% |
| AAU0351A | 1517-05-1 | Azido-PEG1 | 97% |
| AAU0352A | 945633-30-7 | Biotin-PEG2-CH2CH2N3 | 97% |
| AAU0353A | 65869-63-8 | Bis-PEG2-NHS ester | 97% |
| AAU0354A | 206265-98-7 | Boc-NH-PEG7-NH2 | 97% |
| AAU0355A | 721431-18-1 | Biotin-PEG4-acid | 97% |
| AAU0356A | 1027371-75-0 | m-PEG1-NHS ester | 97% |
| AAU0357A | 110429-45-3 | m-PEG4-Br | 97% |
| AAU0358A | 782475-37-0 | Br-PEG3-C2-Boc | 97% |
| AAU0359A | 784105-33-5 | Amino-PEG3-C2-acid | 97% |
| AAU0360A | 530151-56-5 | Bromo-PEG2-C2-azide | 97% |
| AAU0361A | 905954-28-1 | NH2-PEG6-CH2CH2COOH | 97% |
| AAU0362A | 195071-49-9 | Amino-PEG4-CH2COOH | 97% |
| AAU0363A | 2365309-92-6 | Cl-PEG6-acid | 98% |
| AAU0364A | 1137109-21-7 | Mal-amido-PEG6-NHS ester | 97% |
| AAU0365A | 936917-36-1 | Iodo-PEG4-N3 | 97% |
| AAU0366A | 85030-56-4 | m-PEG4-Amine | 97% |
| AAU0367A | 869718-81-0 | m-PEG8-Amine | 97% |
| AAU0368A | 1702356-19-1 | ENdo-BCN-PEG4-NHS ester | 97% |
| AAU0369A | 1058691-77-2 | m-PEG6-CH2CH2CHO | 97% |
Seebio供應G-Kg級別蛋白藥物中間體
| 蛋白藥物中間體 | Seebio Code | CAS No. | Name |
| 生長激素側鏈 | AAU0178A | N/A | TZ-Ste-SO2-nBu-AEEA-Glu(OH)-Glu(OH)-AEEA-Lys(OH)-C |
| AAU0179A | N/A | HO-Ste-CYH-Glu(OH)-Glu(OH)-AEEEEA-Mal | |
| Tirzepatide側鏈 | AAU0180A | 1188328-37-1 | OtBu-Ara-Glu(AEEA-AEEA-OH)-OtBu |
| 索馬魯肽側鏈 | AAU0181A | 1169630-40-3 | (S)-22-(羧基) -1-((2,5-二氧代環戊基)氧基) -1,10,19,24-四氧代-3,6,12,15-四氧雜-9,18,23-氮雜四十一烷-41-酸 |
| AAU0182A | 1118767-16-0 | tBuO-Ste-Glu(AEEA-AEEA-OH)-OtBu | |
| AAU0183A | 1118767-15-9 | tBuO-Ste-Glu(AEEA-AEEA-OSu)-OtBu | |
| AAU0184A | N/A | tBuO-Ste-Glu(AEEA-AEEA-ONa)-OtBu | |
| AAU0185A | 4871-70-5 | 十八烷二酸 | |
| AAU0186A | 843666-40-0 | 十八烷二酸單叔丁酯 | |
| AAU0187A | 134978-97-5 | AEEA | |
| AAU0188A | 1143516-05-5 | AEEA-AEEA | |
| AAU0189A | 166108-71-0 | Fmoc-AEEA | |
| AAU0190A | N/A | Fmoc-PEG3-乙酸 | |
| AAU0191A | 2061897-68-3 | Boc-His(Trt)-Aib-OH | |
| AAU0192A | N/A | Boc-His(Trt)-Aib-Glu(OtBu)-Gly-OH | |
| AAU0193A | 1662688-20-1 | Fmoc-Lys(tBuO-Ste-Glu(AEEA-AEEA)-OtBu)-OH | |
| AAU0194A | N/A | tBuO-Ste-Glu(AEEA-AEEA-Glu)-OtBu | |
| 利拉魯肽側鏈 | AAU0195A | 204521-63-1 | Pal-Glu(OSu)-OtBu |
| AAU0196A | 57078-98-5 | D-Pal-Glu(OSu)-OtBu | |
| AAU0197A | N/A | L-HO-Pal-Lys(OSu)-OH | |
| AAU0198A | 294855-91-7 | L-Pal-Glu(OSu)-OH | |
| AAU0199A | N/A | L-Pal-Glu(OH)-OtBu | |
| AAU0200A | N/A | 2L-HO-Pal-Glu(OSu)-OtBu | |
| 德谷胰島素側鏈 | AAU0201A | N/A | L-HO-Pal-Glu(OSu)-OH |
| AAU0202A | N/A | L-tBuO-Pal-Glu(OSu)-OtBu | |
| AAU0203A | N/A | L-tBuO-Pal-Glu(OSu)-OH | |
| 地特胰島素側鏈 | AAU0204A | 69888-86-4 | N-琥珀酰亞胺基豆蔻酸 |





