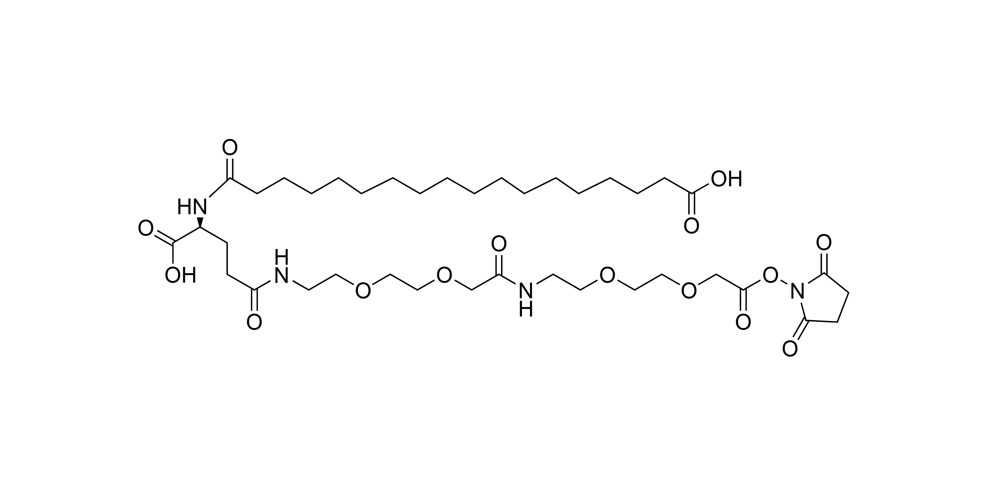
(S)-22-(羧基) -1-((2,5-二氧代環戊基)氧基) -1,10,19,24-四氧代-3,6,12,15-四氧雜-9,18,23-氮雜四十一烷-41-酸
- 別名:1169630-40-3,18-[[((1S)-1-羧基-4-[2-[2-[2-[2-[2-[2-[2,5-二氧雜吡咯烷-1-基)氧]-2-氧-乙氧基]乙氧基]乙氨基]-2-氧代乙氧基]乙氧基]乙氨基]-4-氧代丁基]氨基]-18-氧代十八烷酸;十八烷二酸-谷氨酸-AEEA-AEEA-OSU;索瑪魯肽側鏈-OSU裂解體
- 編碼:AAU0181A
- 級別:99%
- 簡介:索馬魯肽側鏈,支持KG生產
基礎信息
| CAS | 1169630-40-3 |
產品介紹
索馬魯肽側鏈,支持KG生產
質量指標
MSDS
相關資料
相關產品
clicks:773


