當前位置:首頁 >新聞中心 >專題推薦


NAD輔酶系列在IVD中的應用


  專題推薦     |      2021-09-22
在生化診斷中,NAD-NADHNADP-NADPH顯色系統是其重要的一部分。西寶生物提供診斷級煙酰胺輔酶系列產品,包括NADNADHNADPNADPH等,可用于ALT、AST、CK、LDH、CK-MB、α-HBDH、Glu、UREA、NH4+、CO2等檢測試劑盒的生產,具體訂購熱線:400-021-8158
利用NAD/NADH和NADP/NADPH在340 nm 吸光值的差異,是許多酶活力水平檢測的常見方法。以乳酸發酵為例:
西寶生物提供診斷級煙酰胺輔酶系列產品,包括NAD, NADH, NADP 和 NADPH 等。訂購熱線:400-021-8158
煙酰胺輔酶為脫氫酶的輔酶,可分為氧化型還原型
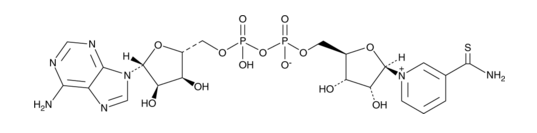
1 NAD(氧化型輔酶I)
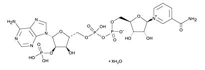
NAD,β-煙酰胺腺嘌呤二核苷酸(氧化型輔酶I),在生物制藥領域有著重要的作用。NAD作為一種關鍵的電子傳遞體,它是體內眾多脫氫酶的輔酶,充當著連接三羧酸循環與呼吸鏈的橋梁。NAD能夠有效地捕獲代謝過程中脫下的氫原子,將其傳遞至黃素蛋白,從而推動能量轉換與生物化學反應。
NAD(氧化型輔酶I)
基本情況
化學名稱:β-煙酰胺腺嘌呤二核苷酸(氧化型輔酶 I)
英文名稱:β-Nicotinamide adenine dinucleotide, oxidized form
CAS 號:53-84-9
分子式:C21H27N7O14P2
分子量:663.43
應用舉例
類別
檢測試劑盒
試劑成分
糖類
葡萄糖(已糖激酶法)檢測試劑盒
R1:三磷酸腺苷(ATP)4mmol/L、煙酰胺腺嘌呤二核苷酸(NAD)3.21mmol/L、疊氮鈉0.05%、緩沖液
R2:三磷酸腺苷(ATP)4mmol/L、煙酰胺腺嘌呤二核苷酸(NAD) 3.21mmol/L、己糖激酶(微生物源)>6.25U/ml、葡萄糖 -6- 磷酸脫氫酶(G6PD)(微生物源)>11.25U/ml、疊氮鈉 0.05%、緩沖液
其他血液分析
乳酸脫氫酶(LDH)檢測試劑盒(速率法)
R1:AMP 緩沖液(pH8.95±0.30)、乳酸
R2:NAD+
乳酸脫氫酶檢測試劑盒(LDH)(L-P法)
R1:Tris-HCI緩沖液100mmol/L、L-乳酸鋰80mmol/L、疊氮鈉0.1%
R2:Tris-HCI緩沖液100mmol/L、NAD+ 40mmol/L、疊氮鈉0.1%
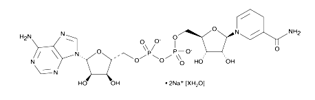
2 NADH(還原型輔酶I)
        NADH,β-煙酰胺腺嘌呤二核苷酸(還原型輔酶I),它在維持細胞生長、分化、能量代謝和細胞保護方面發揮著重要作用:既是物質與能量代謝的參與者,又作為生物氫的載體和電子的供給者。NADH源自糖酵解途徑以及細胞呼吸中的檸檬酸循環。NADH在線粒體內膜上,通過氧化磷酸化途徑傳導能量,促進ATP(腺苷三磷酸)的生成,因而也享有“線粒體素”的稱號。NADH遍布于所有動植物細胞的線粒體中。
NADH(還原型輔酶I)
基本情況
化學名稱:β-煙酰胺腺嘌呤二核苷酸二鈉鹽(還原型輔酶I)
英文名稱:β-Nicotinamide adenine dinucleotide disodium salt, reduced form
CAS 號:606-68-8
分子式:C21H27N7Na2O14P2
分子量:709.4
應用舉例
類別
檢測試劑盒
試劑成分
肝功能
谷丙轉氨酶檢測試劑盒(IFCC法)
R1:TRIS緩沖液224mmol/L(pH7.3,37℃)、L-丙氨酸 1120mmol/L、白蛋白(牛)0.25%、乳酸脫氫酶(微生物)≥45μkat/L、穩定劑、防腐劑
R2/SR:2-酮戊二酸94mmol/L、NADH≥1.7mmol/L、添加劑、防腐劑
谷草轉氨酶/天冬氨酸氨基轉氨酶(GOT/AST)試劑盒(IFCC推薦法)
血氨(AMM)測定試劑盒(谷氨酸脫氫酶法)
R1a:Tris-HCI緩沖液(PH7.4) 100mmol/L、乳酸脫氫酶2KU/L、EDTA 5.3mmol/L
R1b:α-酮戊二酸15mol/L、NADH 0.3mmol/L
R2:谷氨酸脫氫酶160U/L
谷氨酸脫氫酶(GDH/GLDH)試劑盒(連續監測法)
R1:三羥甲基氨基甲烷緩沖液100mmol/L、α-酮戊二酸10mmol/L等
R2:氨100mmol/L、NADH 0.5mmol/L等
腎功能
尿素、尿素氮(BUN)測定試劑盒(脲酶UV法)
R1:Tris緩沖液(PH=8.00)、脲酶、谷氨酸脫氫酶(GLDH)、α-酮戊二酸
R2:NADH
血脂與脂蛋白
同型半胱氨酸(HCY)測定試劑盒(酶法)
R1:磷酸鹽緩沖液(PH 7.7)、乳酸脫氫酶、胱硫醚β-合成酶、胱硫醚β-分解酶、硫柳汞
R2:磷酸鹽緩沖液(PH 7.7)、絲氨酸、NADH、曲拉通-100、硫柳汞
心肌酶類
α-羥丁酸脫氫酶(HBDH)(速率法)
R1:磷酸鹽緩沖液、ɑ-酮丁酸鈉
R2:NADH
腫瘤類
唾液酸測定試劑盒(神經氨酸苷酶法)
R1:緩沖液神經氨酸苷酶、乳酸脫氫酶
R2:緩沖液NADH、N-乙酰神經氨酸醛羧酶
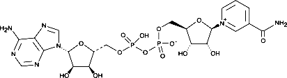
3 NADP(氧化型輔酶II)
NADP,β-煙酰胺腺嘌呤二核苷酸磷酸(氧化型輔酶II)。作為生物界中廣泛存在的一種輔酶,NADP通過將煙酸酰胺腺嘌呤二核苷酸與磷酸分子經由酯鍵連接而成。其化學特性、氧化還原形式以及吸收光譜等方面均與NAD高度相似。
NADH(還原型輔酶I)
基本情況
化學名稱:β-煙酰胺腺嘌呤二核苷酸磷酸(一鈉鹽/二鈉鹽)(氧化型輔酶II)
英文名稱:β-Nicotinamide Adenine Dinucleotide Phosphate
CAS 號:53-59-8 / 1184-16-3(一鈉鹽) / 24292-60-2(二鈉鹽)
分子式:C21H28N7O17P3
分子量:743.41
應用舉例
類別
檢測試劑盒
試劑成分
心肌酶類
肌酸激酶(CK)測定試劑(盒)(速率法)
R1:疊氮鈉 0.02%
R2:二磷酸腺苷(ADP)2.0 mmol/L、一磷酸腺苷(AMP)5.0 mmol/L、二腺苷五磷酸10 μmol/L、還原型輔酶Ⅰ(NADP)2.0 mmol/L、己糖激酶(HK)≥ 2.5 U/mL、葡萄糖-6-磷酸脫氫酶(G6PD)≥ 1.5 U/mL、N-乙酰-L- 半胱氨酸20 mmol/L、肌酸磷酸30 mmol/L
肌酸激酶同工酶(CK-MB)測定試劑盒(速率法)
R1+R2:咪唑緩沖液、磷酸肌酸、葡萄糖、N-乙酰半胱氨酸(NAC)、乙酸鎂、EDTA-Na2、ADP、NADP、AMP、5'-磷酸二腺苷、6-磷酸葡萄糖脫氫酶(G6P-DH)、己糖激酶(HK)、羊抗人CK-M多克隆抗體
其他血液分析
葡萄糖-6-磷酸脫氫酶(G6PD)檢測試劑盒(簡易比色法)
樣本稀釋液、G6PD Assay buffer、NADP、G-6-P、G-6-P稀釋液
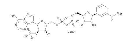
4 NADPH(還原型輔酶II)
NADPH,β-煙酰胺腺嘌呤二核苷酸磷酸(氧化型輔酶II),也被稱為還原型輔酶II-4鈉鹽。它作為一種重要的還原劑,在生物體內扮演著氫負離子供體的角色。NADPH作為供氫體參與體內多種代謝反應。
NAPH(氧化型輔酶II)
基本情況
化學名稱:β-煙酰胺腺嘌呤二核苷酸磷酸四鈉鹽(氧化型輔酶II)
英文名稱:β-nicotinamide adenine dinucleotide phosphate, reduced form, (Reduced Coenzyme-II) tetrasodium salt
CAS 號:2646-71-1
分子式:C21H26N7Na4O17P3
分子量:833.35
應用舉例
類別
檢測試劑盒
檢測原理
其他血液分析
谷胱甘肽還原酶(GR)測定試劑盒(紫外比色法)
氧化型谷胱甘肽(GSSG)在谷胱甘肽還原酶 GR 的催化下,由 NADPH 供氫,使 GSSG還原生成還原型谷胱甘肽(GSH)后,GSH 增加,NADPH 減少。在 340nm 處可檢測到 NADPH的吸光度值的下降。通過檢測 NADPH 的改變,可以計算出 GR 的活力。
谷胱甘肽過氧化氫酶(GSH-Px)試劑盒
GSH-Px催化有機過氧化物氧化GSH,產生GSSG;谷胱甘肽還原酶(GR)催化NADPH還原GSSG,再生GSH,同時NADPH氧化生成NADP+;NADPH在340 nm有特征吸收峰,而NADP+沒有;通過測定340 nm光吸收減少速率來計算GSH-Px活性。
5Thio-NAD (S-NAD)
Thio-NAD,硫代氧化型煙酸胺腺嘌呤二核苷(硫代氧化型輔酶I),是NAD的一種硫代衍生物,在生物體內扮演了不可或缺的關鍵角色。Thio-NAD可用于總膽汁酸檢測試劑的配制。
Thio-NAD
基本情況
化學名稱:硫代氧化型輔酶Ⅰ
英文名稱:Thio-Nicotinamide Adenine Dinucleotide
CAS 號:4090-29-3
Molecular Formula:C21H27N7O13P2S
Formula Weight:679.5
應用舉例
類別
檢測試劑盒
檢測原理
肝功能
總膽汁酸(TBA)測定試劑盒(循環酶法)
R1:磷酸鹽緩沖液pH 7.5、β-硫代煙酰胺腺嘌呤二核苷酸氧化型、疊氮鈉
R2:磷酸鹽緩沖液pH 7.5、β-硫代煙酰胺腺嘌呤二核苷酸還原型、3ɑ-羥甾醇脫氫酶、吐溫-20、疊氮鈉

作用原理
NAD作用原理
以NAD為例,如圖所示,在脫氫酶的作用下,催化脫氫傳遞給給β-NAD+,使之形成還原型β-NADH。NADH在340nm有特征性吸收峰,而NAD在340nm無特征性吸收峰,利用其偶聯的脫氫酶(工具酶)反應,根據340nm吸光度的變化,可以測定物質的濃度或活性。同理,NADPH和NADP也是如此。
產品列表
中/英文品名
用途
CAS號
包裝規格
氧化型輔酶I / β-NAD
診斷分析
53-84-9
5g、25g、100g
生物催化
1kg、5kg
還原型輔酶I / β-NADH二鈉
診斷分析
606-68-8
5g、25g、100g
氧化型輔酶II / β-NADP
診斷分析
53-59-8
5g、25g、100g
生物催化
1kg、5kg
氧化型輔酶II一鈉鹽 / β-NADP-Na
診斷分析
1184-16-3
5g、25g、100g
生物催化
1kg、5kg
氧化型輔酶II二鈉鹽 / β-NADP-2Na
生物催化
24292-60-2
5g、25g、100g
還原型輔酶II四鈉 / β-NADPH-4Na
診斷分析
2646-71-1
5g、25g、100g
硫代氧化型輔酶I / Thio-NAD
診斷分析
4090-29-3
5g、25g、100g
相關文章:
西寶生物診斷疫苗團隊為您服務: 400-021-8158
在生化診斷中,NAD-NADHNADP-NADPH顯色系統是其重要的一部分。西寶生物提供診斷級煙酰胺輔酶系列產品,包括NADNADHNADPNADPH等,可用于ALT、AST、CK、LDH、CK-MB、α-HBDH、Glu、UREA、NH4+、CO2等檢測試劑盒的生產,具體。訂購熱線:400-021-8158
利用NAD/NADH和NADP/NADPH在340 nm 吸光值的差異,是許多酶活力水平檢測的常見方法。以乳酸發酵為例:
西寶生物提供診斷級煙酰胺輔酶系列產品,包括NAD, NADH, NADP 和 NADPH 等。訂購熱線:400-021-8158
煙酰胺輔酶為脫氫酶的輔酶,可分為氧化型還原型
1 NAD(氧化型輔酶I)
NAD,β-煙酰胺腺嘌呤二核苷酸(氧化型輔酶I),在生物制藥領域有著重要的作用。NAD作為一種關鍵的電子傳遞體,它是體內眾多脫氫酶的輔酶,充當著連接三羧酸循環與呼吸鏈的橋梁。NAD能夠有效地捕獲代謝過程中脫下的氫原子,將其傳遞至黃素蛋白,從而推動能量轉換與生物化學反應。
NAD(氧化型輔酶I)
基本情況
化學名稱:β-煙酰胺腺嘌呤二核苷酸(氧化型輔酶 I)
英文名稱:β-Nicotinamide adenine dinucleotide, oxidized form
CAS 號:53-84-9
分子式:C21H27N7O14P2
分子量:663.43
應用舉例
類別
檢測試劑盒
試劑成分
糖類
葡萄糖(已糖激酶法)檢測試劑盒
R1:三磷酸腺苷(ATP)4mmol/L、煙酰胺腺嘌呤二核苷酸(NAD)3.21mmol/L、疊氮鈉0.05%、緩沖液
R2:三磷酸腺苷(ATP)4mmol/L、煙酰胺腺嘌呤二核苷酸(NAD) 3.21mmol/L、己糖激酶(微生物源)>6.25U/ml、葡萄糖 -6- 磷酸脫氫酶(G6PD)(微生物源)>11.25U/ml、疊氮鈉 0.05%、緩沖液
其他血液分析
乳酸脫氫酶(LDH)檢測試劑盒(速率法)
R1:AMP 緩沖液(pH8.95±0.30)、乳酸
R2:NAD+
乳酸脫氫酶檢測試劑盒(LDH)(L-P法)
R1:Tris-HCI緩沖液100mmol/L、L-乳酸鋰80mmol/L、疊氮鈉0.1%
R2:Tris-HCI緩沖液100mmol/L、NAD+ 40mmol/L、疊氮鈉0.1%
2 NADH(還原型輔酶I)
        NADH,β-煙酰胺腺嘌呤二核苷酸(還原型輔酶I),它在維持細胞生長、分化、能量代謝和細胞保護方面發揮著重要作用:既是物質與能量代謝的參與者,又作為生物氫的載體和電子的供給者。NADH源自糖酵解途徑以及細胞呼吸中的檸檬酸循環。NADH在線粒體內膜上,通過氧化磷酸化途徑傳導能量,促進ATP(腺苷三磷酸)的生成,因而也享有“線粒體素”的稱號。NADH遍布于所有動植物細胞的線粒體中。
NADH(還原型輔酶I)
基本情況
化學名稱:β-煙酰胺腺嘌呤二核苷酸二鈉鹽(還原型輔酶I)
英文名稱:β-Nicotinamide adenine dinucleotide disodium salt, reduced form
CAS 號:606-68-8
分子式:C21H27N7Na2O14P2
分子量:709.4
應用舉例
類別
檢測試劑盒
試劑成分
肝功能
谷丙轉氨酶檢測試劑盒(IFCC法)
R1:TRIS緩沖液224mmol/L(pH7.3,37℃)、L-丙氨酸 1120mmol/L、白蛋白(牛)0.25%、乳酸脫氫酶(微生物)≥45μkat/L、穩定劑、防腐劑
R2/SR:2-酮戊二酸94mmol/L、NADH≥1.7mmol/L、添加劑、防腐劑
谷草轉氨酶/天冬氨酸氨基轉氨酶(GOT/AST)試劑盒(IFCC推薦法)
血氨(AMM)測定試劑盒(谷氨酸脫氫酶法)
R1a:Tris-HCI緩沖液(PH7.4) 100mmol/L、乳酸脫氫酶2KU/L、EDTA 5.3mmol/L
R1b:α-酮戊二酸15mol/L、NADH 0.3mmol/L
R2:谷氨酸脫氫酶160U/L
谷氨酸脫氫酶(GDH/GLDH)試劑盒(連續監測法)
R1:三羥甲基氨基甲烷緩沖液100mmol/L、α-酮戊二酸10mmol/L等
R2:氨100mmol/L、NADH 0.5mmol/L等
腎功能
尿素、尿素氮(BUN)測定試劑盒(脲酶UV法)
R1:Tris緩沖液(PH=8.00)、脲酶、谷氨酸脫氫酶(GLDH)、α-酮戊二酸
R2:NADH
血脂與脂蛋白
同型半胱氨酸(HCY)測定試劑盒(酶法)
R1:磷酸鹽緩沖液(PH 7.7)、乳酸脫氫酶、胱硫醚β-合成酶、胱硫醚β-分解酶、硫柳汞
R2:磷酸鹽緩沖液(PH 7.7)、絲氨酸、NADH、曲拉通-100、硫柳汞
心肌酶類
α-羥丁酸脫氫酶(HBDH)(速率法)
R1:磷酸鹽緩沖液、ɑ-酮丁酸鈉
R2:NADH
腫瘤類
唾液酸測定試劑盒(神經氨酸苷酶法)
R1:緩沖液神經氨酸苷酶、乳酸脫氫酶
R2:緩沖液NADH、N-乙酰神經氨酸醛羧酶
3 NADP(氧化型輔酶II)
NADP,β-煙酰胺腺嘌呤二核苷酸磷酸(氧化型輔酶II)。作為生物界中廣泛存在的一種輔酶,NADP通過將煙酸酰胺腺嘌呤二核苷酸與磷酸分子經由酯鍵連接而成。其化學特性、氧化還原形式以及吸收光譜等方面均與NAD高度相似。
NADH(還原型輔酶I)
基本情況
化學名稱:β-煙酰胺腺嘌呤二核苷酸磷酸(一鈉鹽/二鈉鹽)(氧化型輔酶II)
英文名稱:β-Nicotinamide Adenine Dinucleotide Phosphate
CAS 號:53-59-8 / 1184-16-3(一鈉鹽) / 24292-60-2(二鈉鹽)
分子式:C21H28N7O17P3
分子量:743.41
應用舉例
類別
檢測試劑盒
試劑成分
心肌酶類
肌酸激酶(CK)測定試劑(盒)(速率法)
R1:疊氮鈉 0.02%
R2:二磷酸腺苷(ADP)2.0 mmol/L、一磷酸腺苷(AMP)5.0 mmol/L、二腺苷五磷酸10 μmol/L、還原型輔酶Ⅰ(NADP)2.0 mmol/L、己糖激酶(HK)≥ 2.5 U/mL、葡萄糖-6-磷酸脫氫酶(G6PD)≥ 1.5 U/mL、N-乙酰-L- 半胱氨酸20 mmol/L、肌酸磷酸30 mmol/L
肌酸激酶同工酶(CK-MB)測定試劑盒(速率法)
R1+R2:咪唑緩沖液、磷酸肌酸、葡萄糖、N-乙酰半胱氨酸(NAC)、乙酸鎂、EDTA-Na2、ADP、NADP、AMP、5'-磷酸二腺苷、6-磷酸葡萄糖脫氫酶(G6P-DH)、己糖激酶(HK)、羊抗人CK-M多克隆抗體
其他血液分析
葡萄糖-6-磷酸脫氫酶(G6PD)檢測試劑盒(簡易比色法)
樣本稀釋液、G6PD Assay buffer、NADP、G-6-P、G-6-P稀釋液
4 NADPH(還原型輔酶II)
NADPH,β-煙酰胺腺嘌呤二核苷酸磷酸(氧化型輔酶II),也被稱為還原型輔酶II-4鈉鹽。它作為一種重要的還原劑,在生物體內扮演著氫負離子供體的角色。NADPH作為供氫體參與體內多種代謝反應。
NAPH(氧化型輔酶II)
基本情況
化學名稱:β-煙酰胺腺嘌呤二核苷酸磷酸四鈉鹽(氧化型輔酶II)
英文名稱:β-nicotinamide adenine dinucleotide phosphate, reduced form, (Reduced Coenzyme-II) tetrasodium salt
CAS 號:2646-71-1
分子式:C21H26N7Na4O17P3
分子量:833.35
應用舉例
類別
檢測試劑盒
檢測原理
其他血液分析
谷胱甘肽還原酶(GR)測定試劑盒(紫外比色法)
氧化型谷胱甘肽(GSSG)在谷胱甘肽還原酶 GR 的催化下,由 NADPH 供氫,使 GSSG還原生成還原型谷胱甘肽(GSH)后,GSH 增加,NADPH 減少。在 340nm 處可檢測到 NADPH的吸光度值的下降。通過檢測 NADPH 的改變,可以計算出 GR 的活力。
谷胱甘肽過氧化氫酶(GSH-Px)試劑盒
GSH-Px催化有機過氧化物氧化GSH,產生GSSG;谷胱甘肽還原酶(GR)催化NADPH還原GSSG,再生GSH,同時NADPH氧化生成NADP+;NADPH在340 nm有特征吸收峰,而NADP+沒有;通過測定340 nm光吸收減少速率來計算GSH-Px活性。
5Thio-NAD (S-NAD)
Thio-NAD,硫代氧化型煙酸胺腺嘌呤二核苷(硫代氧化型輔酶I),是NAD的一種硫代衍生物,在生物體內扮演了不可或缺的關鍵角色。Thio-NAD可用于總膽汁酸檢測試劑的配制。
Thio-NAD
基本情況
化學名稱:硫代氧化型輔酶Ⅰ
英文名稱:Thio-Nicotinamide Adenine Dinucleotide
CAS 號:4090-29-3
Molecular Formula:C21H27N7O13P2S
Formula Weight:679.5
應用舉例
類別
檢測試劑盒
檢測原理
肝功能
總膽汁酸(TBA)測定試劑盒(循環酶法)
R1:磷酸鹽緩沖液pH 7.5、β-硫代煙酰胺腺嘌呤二核苷酸氧化型、疊氮鈉
R2:磷酸鹽緩沖液pH 7.5、β-硫代煙酰胺腺嘌呤二核苷酸還原型、3ɑ-羥甾醇脫氫酶、吐溫-20、疊氮鈉

作用原理
NAD作用原理
以NAD為例,如圖所示,在脫氫酶的作用下,催化脫氫傳遞給給β-NAD+,使之形成還原型β-NADH。NADH在340nm有特征性吸收峰,而NAD在340nm無特征性吸收峰,利用其偶聯的脫氫酶(工具酶)反應,根據340nm吸光度的變化,可以測定物質的濃度或活性。同理,NADPH和NADP也是如此。
產品列表
中/英文品名
用途
CAS號
包裝規格
氧化型輔酶I / β-NAD
診斷分析
53-84-9
5g、25g、100g
生物催化
1kg、5kg
還原型輔酶I / β-NADH二鈉
診斷分析
606-68-8
5g、25g、100g
氧化型輔酶II / β-NADP
診斷分析
53-59-8
5g、25g、100g
生物催化
1kg、5kg
氧化型輔酶II一鈉鹽 / β-NADP-Na
診斷分析
1184-16-3
5g、25g、100g
生物催化
1kg、5kg
氧化型輔酶II二鈉鹽 / β-NADP-2Na
生物催化
24292-60-2
5g、25g、100g
還原型輔酶II四鈉 / β-NADPH-4Na
診斷分析
2646-71-1
5g、25g、100g
硫代氧化型輔酶I / Thio-NAD
診斷分析
4090-29-3
5g、25g、100g
相關文章:
西寶生物診斷疫苗團隊為您服務: 400-021-8158