1. 光致產酸劑(Photo Acid Generator,PAG) 是一類在光、射線、等離子體等輻射下能分解生成特定酸,酸可使酸敏樹脂發生分解或者交聯,從而使光照部分與非光照部分溶解,親和性能產生差異,經過顯影處理后形成影像。光致產酸劑(Photo Acid Generator,PAG)是光刻膠的核心部分,在光形式的輻射能,尤其在紫外區會發生相應的反應。

化學放大光反應示意圖[2]
光產酸劑在各類化學增幅抗蝕劑等成像體系中應用和研究廣泛。 同時也被廣泛應用于陽離子光固化材料、熱敏印刷版材。
產品類型
| 光刻波長
| 應用集成電路制程
|
g線光刻膠
| 436 nm | 0.5um |
i線光刻膠
| 365 nm | 0.5-0.35um |
KrF光刻膠
| 248 nm | 250-130nm |
ArF光刻膠(干式)
| 193 nm | 130-65nm |
ArF光刻膠(浸沒式)
| 193 nm | 65-14nm,配合雙重及多重顯影技術可達7nm |
EUV光刻膠
| 13.5 nm | 7nm以下 |
電子束光刻膠體系
| 電子束 | - |
主要的光刻膠類型
2. 光酸選擇對光刻膠性能的影響:
曝光時間,光源所發射光纖的強度等都需要根據光酸的特性選擇決定的。
在進行半導體光刻膠的配方調制時,通常要根據樹脂的設計來搭配不同的光酸,而一款光刻膠中的光酸可能不止一種,研發人員會根據所需的參數改善方向來添加不同的光酸。
光酸的擴散長度直接決定了光刻膠的性能及一些重要參數,如曝光能量、能量窗口、邊緣粗糙度、圖形形貌以及掩模版誤差增強因子等。
優秀的光酸要實現在溶解性、穩定性、靈敏度和工藝窗口之間達到優化的平衡。
① 高敏感性:光酸對光照的敏感性較高,可在較低的光照強度下產生足夠的酸量。
② 可控性:根據需要可以選擇不同波長的光源來激活光酸,實現對反應的精確控制。
3. N-羥基萘酰亞胺三氟甲磺酸酯光致產酸劑:
萘二甲酰亞胺結構的化學修飾和剪裁易于實現和控制,萘酰亞胺三氟甲磺酸酯對光具有優異的吸收能力,且在有機溶劑中其具有非常高的溶解性,容易制備聚合性組合物,并且具有優異的熱穩定性,亦表現出良好的產酸率。這些性質使其自2014年以來成為優秀光致產酸劑的潛力化合物。具有很大的研究價值和市場前景。
不同的化學修飾能夠精細地調整1,8-萘酰亞胺的光學性質[3]:
※ 這類化合物主要被用于表面改性聚合物膜的制造、正色調光刻膠的制備。
通過光刻獲得圖案化薄膜、用于合成光致抗蝕劑組合物、用于生產復合材料,包括基材和涂覆在基材表面上的涂層等[4]。
4. 常用光酸種類
大量結構迥異的光致產酸劑PAG一般可以分為離子型和非離子型兩類[5]。
① 離子型(鎓鹽)PAG :含有陽離子化合物& 陰離子化合物
應用比較廣泛的是二芳基鎓碘鹽/三芳基磺酸鹽,含有BF4-, SbF6-, AsF6-, PF6-, 或者RSO3-等陰離子是應用廣泛的PAG。二茂鐵的離子化合物也是比較知名的,但是應用范圍相對較窄。與三芳基磺酸鹽相比,二芳基硫鎓鹽基光酸產生的酸具有更高的量子產率,因此,當需要高產酸率的工藝時,例如,用于制造光固化涂層,印刷油墨和不干膠標簽,這類PAG是個選項。另一方面,三芳基磺酸鹽的高熱穩定性是其作為光刻膠用PAG的主要因素。光刻膠受到曝光前和曝光后的烘烤,在鎓鹽熱穩定性不足的情況下,可能會損害圖像質量。此外,含二苯鎓鹽的PAG的光解產生的揮發性碘取代的光產物會物沉積在用于曝光光刻膠的設備的光學器件上。單三苯磺酸基PAG的光解則不伴有揮發性光產物的形成[6]。

商業化的離子型PAG[5]
② 非離子型PAG
文獻中描述了許多非離子化合物,它們在暴露于光下時會產生羧酸、磺酸、磷和氫鹽酸。
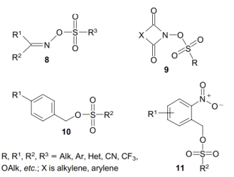
這類化合物中重要的是磺酸酯,它在光照下會產生強酸。他們包括亞氨基磺酸鹽 (化合物8), 酰亞胺磺(化合物9) 和芐基磺酸鹽(化合物10) 。在苯磺酸鹽中,只有對硝基和鄰硝基苯基磺酸酯(化合物11)在光照下產生酸[7],這些異構體通過不同的機制產生光酸。非離子型PAG在有機溶劑和聚合物薄膜中具有較高的溶解度,但與鎓鹽相比,它們的熱穩定性較差(可以通過進一步的化學修飾進行改進)。

主要的非離子型PAG母核結構[5]
Seebio現貨供應光引發劑(PI)/光敏劑(PAC)/光致產酸劑(PAG)產品
產品規格和需求請聯系400-021-8158
Seebio Code
| CAS No.
| 化學品名 Chemical Name | 外觀 Appearance | 純度 Purity | 吸收峰(nm) Absorption Peak |
AAU16171A
| 85342-62-7
| 萘酰亞胺三氟甲磺酸 N-Hydroxynaphthalimide Triflate | / | ≥99% | / |
AAU16172A
| 1610827-31-0
| 6-丁基-N-羥基萘酰亞胺三氟甲磺酸 6-butyl-1,3-dioxo-1H-benzo[de]isoquinolin-2(3H)-yl trifluoromethanesulfonate | / | ≥99% | / |
AAU16173A
| 2348470-19-7
| 6-(2-甲氧基乙氧基)-N-羥基萘酰亞胺三氟甲磺酸 6-(2-methoxyethoxy)-1,3-dioxo-1H-benzo[de]isoquinolin-2(3H)-yl trifluoromethanesulfonate | / | ≥99% | / |
AAU16174A
| 125051-32-3
| 雙2,6-二氟-3-吡咯苯基二茂鈦 Bis(.eta.5-2,4-cyclopentadien-1-yl)- bis[2,6-difluoro-3-(1H-pyrrol-1-yl)phenyl]titanium | 黃色-橙色粉末 Yellow-Orange powder | ≥99% | 333、396、470 |
AAU16175A
| 162881-26-7
| 苯基雙(2,4,6-三甲基苯甲酰基)氧化膦 Bis(2,4,6-trimethylbenzoyl) phenylphosphine oxide | 淡黃色粉末 Yellowish powder | ≥99% | 338、370、405 |
AAU16176A
| 75980-60-8
| (2,4,6-三甲基苯甲酰基)二苯基氧化膦 2,4,6-Trimethyl benzoyldiphenyl phosphine oxide | 淡黃色粉末 Yellowish powder | ≥99% | 295、368、380、 400 |
AAU16177A
| 84434-11-7
| 2,4,6-三甲基苯甲酰基苯基膦酸乙酯 Ethyl (2,4,6-trimethylbenzoyl) phenylphosphinate | 淡黃色透明液體 Yollewish liquid | ≥98% | 369 |
AAU16178A
| 5495-84-1
| 2-異丙基硫雜蒽酮 2-Isopropylthioxanthone | 淡黃色粉末 Yellowish powder | ≥99% | 258、382 |
AAU16179A
| 82799-44-8
| 2,4-二乙基硫雜蒽酮 2,4-Diethylthioxanthone | 淡黃色粉末 Yellowish powder | ≥99% | 261、385 |
AAU16180A
| 71868-10-5
| 2-甲基-1-(4-甲硫基苯基)-2-嗎啉基-1-丙酮 2-Methyl-1-[4-(methylthio)phenyl]-2- morpholinopropane-1-one | 白色粉末 White powder | ≥99% | 240、306 |
AAU16181A
| 119313-12-1
| 2-芐基-2-二甲基氨基-1-(4-嗎啉苯基)丁酮 2-Benzyl-2-dimethylamino-1-(4- morpholinophenyl)butanone | 淡黃色粉末 Yellowish powder | ≥99% | 206、323 |
AAU16182A
| 119344-86-4
| 2-二甲氨基-2-(4-甲基)芐基-1-[4-(4-嗎啉基)苯基]-1-丁酮 2-Dimethylamino-2-(4-methyl-benzyl)- 1-(4-morpholin-4-yl-phenyl)-butan-1-one | 淡黃色粉末 Yellowish powder | ≥99% | 233、320 |
AAU16183A
| 119-61-9
| 二苯甲酮 Benzophenone | 白色片狀固體 White flakes | ≥99.5% | 256、330 |
AAU16184A
| 947-19-3
| 1-羥基環己基苯基甲酮 1-Hydroxy-Cyclohexyl Phenyl Ketone | 白色粉末 White powder | ≥99% | 244、280、326 |
AAU16185A
| 7473-98-5
| 2-羥基-2-甲基苯基丙烷-1-酮 2-Hydroxy-2-methylpropiophenone | 無色至淡黃色透明液體 Colorless to pale yellow liquid | ≥99% | 244、278、322 |
AAU16186A
| 15206-55-0
| 苯甲酰甲酸甲酯 Methyl benzoylformate | 淡黃色透明液體 Yollewish liquid | ≥99% | 255、325 |
AAU16187A
| 24650-42-8
| 2,2-二甲氧基-2-苯基苯乙酮 2,2-Dimethoxy-2-phenylacetophenone | 白色粉末 White powder | ≥99% | 220、255、325 |
AAU16188A
| 90-93-7
| 四乙基米氏酮 4,4'-Bis(diethylamino)benzophenone | 黃色片狀結晶 Yellow Flakes | ≥98% | 244、280、330 |
AAU16189A
| 10287-53-3
| 4-二甲氨基苯甲酸乙酯 Ethyl-4-(dimethylamino)benzoate | 白色粉末 White powder | ≥99% | 228、308 |
AAU16190A
| /
| 香豆素肟酯 Coumarin oxime ester | 白色粉末 White powder | ≥98% | 297 |
AAU16191A
| 478556-66-0
| 1-[9-乙基-6-(2-甲基苯甲酰基)-9H- 咔唑-3-基]乙酮 1-(O-乙酰肟) 1-[9-Ethyl-6-(2-methylbenzoyl)-9H-carbazol-3-yl]ethanone 1-(O-acetyloxime) | 白色粉末 White powder | ≥99% | 252、291、328 |
AAU16192A
| 32760-80-8
| 異丙苯茂鐵六氟磷酸鹽 Cyclopentadienyliron(ii) hexa- fluorophosphate | 棕黃色粉末 Yellow-Brown powder | ≥98% | 300、390、450 |
AAU16193A
| 100011-37-8
| 異丙苯茂鐵六氟銻酸鹽 Cyclopentadienyliron(ii) hexa- fluoroantimonate | 棕黃色粉末 Yellow-Brown powder | ≥98% | 300、390、450 |
AAU16194A
| 344562-80-7
| 4-異丁基苯基-4’-甲苯基碘 六氟磷酸鹽 4-Isobutylphenyl-4'- methylphenyliodonium hexafluorophosphate | 淡黃色透明液體 Yellowish liquid | 75% | 243 |
AAU16195A
| 71786-70-4
| 雙(4-十二烷基苯)碘六氟銻酸鹽 Bis(4-dodecylphenyl)iodonium hexaflurorantimonate | 淡黃色透明液體 Yellowish liquid | 50% | 278 |
AAU16196A
| 61358-25-6
| 雙(4-叔丁基苯基)碘鎓六氟磷酸鹽 Bis(4-tert-butylphenyl)iodonium hexafluorophosphate | 白色粉末 White powder | ≥99% | 265 |
AAU16197A
| 42573-57-9
| 2,4-雙(三氯甲基)-6-對甲氧基苯 乙烯基-S-三嗪 2-[2-(4-Methoxyphenyl-2-yl)vinyl]-4,6-bis(trichloromethyl)1,3,5- triazine | 黃色粉末 Yellow powder | ≥98% | 249、373 |
AAU16198A
| /
| (5-對甲苯磺酰氧亞胺-5H-噻吩-2- 亞基)-(4-甲氧基苯基)-乙腈 p-methoxyphenylacetonitrile, a-[5- [[(p-toluene sulfonyl)oxy]imino]-2(5H)-thienylidene] | 棕黃色粉末 Yellow-Brown powder | ≥97% | 270、430 |
AAU16199A
| 506426-96-6
| 5-(4-二苯胺苯基乙烯基)- 苯乙基惡唑烷-2,4-二酮 2,4-Oxazolidinedione, 5-[[4- (diphenylamino)phenyl]methylene]- 3-(2-phenylethyl)- | 黃色粉末 Yellow powder | ≥99% | 395 |
【參考文獻】
[1]. Zivic Z. et al, Angew. Chem. Int. Ed. 2019, 58, 10410 – 10422.
[2]. Deng J.Y. et al, Chemistry of Materials 2022
[3]. Noirbent G. et al, European Polymer Journal 2020, 132,109702.
[4]. K.W. et al, WO2019/ 045377 KO 2019 .03 .07
[5]. N.A.Kuznetsova, G.V.Malkov, B.G.GribovRuss. Chem. Rev., 2020, 89, 2,173-190.
[6]. Reichmanis E. et al, J.Bowden. Mat. Res. Soc. Symp. Proc., 2000, 23, 584.
[7]. Martin C.J. et al, J. Photochem. Photobiol., C, 2018, 34, 41.
1. 光致產酸劑(Photo Acid Generator,PAG) 是一類在光、射線、等離子體等輻射下能分解生成特定酸,酸可使酸敏樹脂發生分解或者交聯,從而使光照部分與非光照部分溶解,親和性能產生差異,經過顯影處理后形成影像。光致產酸劑(Photo Acid Generator,PAG)是光刻膠的核心部分,在光形式的輻射能,尤其在紫外區會發生相應的反應。

化學放大光反應示意圖[2]
光產酸劑在各類化學增幅抗蝕劑等成像體系中應用和研究廣泛。 同時也被廣泛應用于陽離子光固化材料、熱敏印刷版材。
產品類型
| 光刻波長
| 應用集成電路制程
|
g線光刻膠
| 436 nm | 0.5um |
i線光刻膠
| 365 nm | 0.5-0.35um |
KrF光刻膠
| 248 nm | 250-130nm |
ArF光刻膠(干式)
| 193 nm | 130-65nm |
ArF光刻膠(浸沒式)
| 193 nm | 65-14nm,配合雙重及多重顯影技術可達7nm |
EUV光刻膠
| 13.5 nm | 7nm以下 |
電子束光刻膠體系
| 電子束 | - |
主要的光刻膠類型
2. 光酸選擇對光刻膠性能的影響:
曝光時間,光源所發射光纖的強度等都需要根據光酸的特性選擇決定的。
在進行半導體光刻膠的配方調制時,通常要根據樹脂的設計來搭配不同的光酸,而一款光刻膠中的光酸可能不止一種,研發人員會根據所需的參數改善方向來添加不同的光酸。
光酸的擴散長度直接決定了光刻膠的性能及一些重要參數,如曝光能量、能量窗口、邊緣粗糙度、圖形形貌以及掩模版誤差增強因子等。
優秀的光酸要實現在溶解性、穩定性、靈敏度和工藝窗口之間達到優化的平衡。
① 高敏感性:光酸對光照的敏感性較高,可在較低的光照強度下產生足夠的酸量。
② 可控性:根據需要可以選擇不同波長的光源來激活光酸,實現對反應的精確控制。
3. N-羥基萘酰亞胺三氟甲磺酸酯光致產酸劑:
萘二甲酰亞胺結構的化學修飾和剪裁易于實現和控制,萘酰亞胺三氟甲磺酸酯對光具有優異的吸收能力,且在有機溶劑中其具有非常高的溶解性,容易制備聚合性組合物,并且具有優異的熱穩定性,亦表現出良好的產酸率。這些性質使其自2014年以來成為優秀光致產酸劑的潛力化合物。具有很大的研究價值和市場前景。
不同的化學修飾能夠精細地調整1,8-萘酰亞胺的光學性質[3]:
※ 這類化合物主要被用于表面改性聚合物膜的制造、正色調光刻膠的制備。
通過光刻獲得圖案化薄膜、用于合成光致抗蝕劑組合物、用于生產復合材料,包括基材和涂覆在基材表面上的涂層等[4]。
4. 常用光酸種類
大量結構迥異的光致產酸劑PAG一般可以分為離子型和非離子型兩類[5]。
① 離子型(鎓鹽)PAG :含有陽離子化合物& 陰離子化合物
應用比較廣泛的是二芳基鎓碘鹽/三芳基磺酸鹽,含有BF4-, SbF6-, AsF6-, PF6-, 或者RSO3-等陰離子是應用廣泛的PAG。二茂鐵的離子化合物也是比較知名的,但是應用范圍相對較窄。與三芳基磺酸鹽相比,二芳基硫鎓鹽基光酸產生的酸具有更高的量子產率,因此,當需要高產酸率的工藝時,例如,用于制造光固化涂層,印刷油墨和不干膠標簽,這類PAG是選項。另一方面,三芳基磺酸鹽的高熱穩定性是其作為光刻膠用PAG的主要因素。光刻膠受到曝光前和曝光后的烘烤,在鎓鹽熱穩定性不足的情況下,可能會損害圖像質量。此外,含二苯鎓鹽的PAG的光解產生的揮發性碘取代的光產物會物沉積在用于曝光光刻膠的設備的光學器件上。單三苯磺酸基PAG的光解則不伴有揮發性光產物的形成[6]。

商業化的離子型PAG[5]
② 非離子型PAG
文獻中描述了許多非離子化合物,它們在暴露于光下時會產生羧酸、磺酸、磷和氫鹽酸。
這類化合物中重要的是磺酸酯,它在光照下會產生強酸。他們包括亞氨基磺酸鹽 (化合物8), 酰亞胺磺(化合物9) 和芐基磺酸鹽(化合物10) 。在苯磺酸鹽中,只有對硝基和鄰硝基苯基磺酸酯(化合物11)在光照下產生酸[7],這些異構體通過不同的機制產生光酸。非離子型PAG在有機溶劑和聚合物薄膜中具有較高的溶解度,但與鎓鹽相比,它們的熱穩定性較差(可以通過進一步的化學修飾進行改進)。

主要的非離子型PAG母核結構[5]
Seebio現貨供應光引發劑(PI)/光敏劑(PAC)/光致產酸劑(PAG)產品
產品規格和需求請聯系400-021-8158
【參考文獻】
[1]. Zivic Z. et al, Angew. Chem. Int. Ed. 2019, 58, 10410 – 10422.
[2]. Deng J.Y. et al, Chemistry of Materials 2022
[3]. Noirbent G. et al, European Polymer Journal 2020, 132,109702.
[4]. K.W. et al, WO2019/ 045377 KO 2019 .03 .07
[5]. N.A.Kuznetsova, G.V.Malkov, B.G.GribovRuss. Chem. Rev., 2020, 89, 2,173-190.
[6]. Reichmanis E. et al, J.Bowden. Mat. Res. Soc. Symp. Proc., 2000, 23, 584.
[7]. Martin C.J. et al, J. Photochem. Photobiol., C, 2018, 34, 41.


